光延反应
光延反应(Mitsunobu反应)是一种双分子亲核取代反应(SN2反应)。 由日本化学家光延旺洋(Mitsunobu, Oyo) 等人于1967年发明,是现代有机合成中常用的反应。 该反应能将醇通过与三苯基膦和偶氮二羧酸二乙酯(DEAD)[1] 反应转化为多种化合物比如酯。 此反应的特点是条件温和,产率高并带有构型翻转。
| 光延反应 | |
|---|---|
| 命名根据 | 光延旺洋 |
| 反应类型 | 偶联反应 |
| 标识 | |
| 有机化学网站对应网页 | mitsunobu-reaction |
| RSC序号 | RXNO:0000034 |
总反应
醇羟基在偶氮二羧酸二乙酯(DEAD)和三苯基膦的作用下被亲核试剂取代,同时跟羟基所连的碳原子构型发生翻转(瓦尔登翻转,Walden inversion)。总反应方程式如下:

反应機構
Mitsunobu反应機構相当复杂,其中的中间体实体以及它们所起的作用仍然有许多争论。

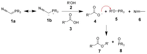
首先是三苯基膦(2)进攻DEAD形成中间体(3),夺取羧酸(4)质子形成离子(5),醇氧进攻离子(5)的膦碳正中心形成离子(8),而DEAD脱落下来形成肼的副产物(7)。其中(8)到(11)的手性翻转取决于羧酸的pKa以及溶剂极性。 [7][8][9] 虽然说反应当中参与了很多的膦中间体,但是(8)到(12)是唯一形成产物的路径并且最后得到三苯基氧膦副产物。
投料顺序
对于Mitsunobu反应来说,投料顺序至关重要。首先应当将羧酸,醇,三苯基膦溶解于适当的溶剂当中,比如四氢呋喃(或者乙醚等),冷至零度,然后将DEAD缓慢滴加,最后在室温下搅拌。若反应不完可以升温到室温或者继续加热进行。 另外一种投料方式,是将三苯基膦和DEAD先于溶剂中搅拌,再将醇和酸依次溶剂加入。[10]
反应变化与讨论
其他亲核官能团
用途
在有机合成中常用来使一个带羟基的手性碳原子在温和的条件下发生构型翻转,以改变其立体化学构型。

此外选用不同的亲核试剂可以生成C-O键,C-N键,C-S键,C-C键等等。

反应实例当中不使用DEAD而用碱性更强的偶氮二羧酸二哌啶酯(ADDP),这是因为酚羟基酸性太弱了。反应当中的膦是高分子支载的三苯基膦(PS-PPh3)。
參考文献
- Mitsunobu, O.; Yamada, Y. Bull. Chem. Soc. Japan 1967, 40, 2380-2382.
- The Use of Diethyl Azodicarboxylate and Triphenylphosphine in Synthesis and Transformation of Natural Products Mitsunobu, O. Synthesis 1981, 1-28. (Review)
- Castro, B. R. Org. React. 1983, 29, 1. (Review)
- Hughes, D. L. Org. React. 1992, 42, 335-656. (Review)
- Hughes, D. L. Org. Prep. 1996, 28, 127-164. (Review)
- Kumara Swamy, K. C.; Bhuvan Kumar, N. N.; Balaraman, E.; Pavan Kumar, K. V. P., "Mitsunobu and Related Reactions: Advances and Applications" Chem. Rev. 2009, 109, 2551-2651.
- Grochowski, E. H., B. D.; Kupper, R. J.; Michejda, C. J. J. Am. Chem. Soc. 1982, 104, 6876-6877. (doi:10.1021/ja00388a110)
- Camp, D. J., I. D. J. Org. Chem. 1989, 54, 3045-3049. (doi:10.1021/jo00274a016)
- Camp, D. J., I. D. J. Org. Chem. 1989, 54, 3049-3054. (doi:10.1021/jo00274a017)
- Volante, R. Tetrahedron Lett. 1981, 22, 3119.
- Hegedus, L. S.; Holden, M. S.; McKearin, J. M. Organic Syntheses, Coll. Vol. 7, p.501 (1990); Vol. 62, p.48 (1984). (Article (页面存档备份,存于))
- Kurosawa, W.; Kan, T.; Fukuyama, T. Organic Syntheses, Coll. Vol. 10, p.482 (2004); Vol. 79, p.186 (2002). (Article (页面存档备份,存于))
- Tetrahedron Lett. 2000, 41, 797-800.
- . [2011-02-15]. (原始内容存档于2007-02-18).
- Tsunoda, T.; Nagino, C.; Oguri, M.; Itô, S. Tetrahedron Lett. 1996, 37, 2459.
- Paul S. Humphries, Quyen-Quyen T. Do and David M. Wilhite. ADDP and PS-PPh3: an efficient Mitsunobu protocol for the preparation of pyridine ether PPAR agonists (页面存档备份,存于). Beilstein J. Org. Chem. 2006, 2, No. 21. doi:10.1186/1860-5397-2-21
外部链接
- The Mitsunobu Reaction(页面存档备份,存于) by Kevin Jantzi
alkylphosphorane.svg.png.webp)
