苯甲醛
苯甲醛(英語:)为苯的氢被醛基取代后形成的有机化合物,化學式為C6H5CHO。苯甲醛为最简单的,同时也是工业上最常为使用的芳醛。在室温下其为无色液体,具有特殊的杏仁气味。苯甲醛为苦扁桃油提取物中的主要成分,也可从杏,樱桃,月桂树叶,桃核中提取得到。该化合物也在果仁和坚果中以和糖苷结合的形式(扁桃苷,Amygdalin)存在。当今苯甲醛主要由甲苯通过不同的途径制备。
| 苯甲醛 | |||
|---|---|---|---|
| |||
![]() | |||
| IUPAC名 Benzaldehyde | |||
| 英文名 | |||
| 识别 | |||
| CAS号 | 100-52-7 | ||
| PubChem | 240 | ||
| ChemSpider | 235 | ||
| SMILES |
| ||
| InChI |
| ||
| InChIKey | HUMNYLRZRPPJDN-UHFFFAOYAE | ||
| ChEBI | 17169 | ||
| RTECS | CU437500 | ||
| KEGG | D02314 | ||
| 性质 | |||
| 化学式 | C7H6O | ||
| 摩尔质量 | 106.12 g·mol−1 | ||
| 外观 | 无色液体 | ||
| 密度 | 1.0415 g/mL | ||
| 熔点 | −26 ℃ | ||
| 沸点 | 178.1 ℃ | ||
| 溶解性(水) | 微溶于水 (0.6 wt,20 ℃) | ||
| 黏度 | 1.4 cP (25 ℃) | ||
| 热力学 | |||
| ΔfHm⦵298K | −86.8 kJ/mol | ||
| ΔcHm⦵ | −3525.1 kJ/mol | ||
| 危险性 | |||
欧盟危险性符号 有害 Xn | |||
| 警示术语 | R:R22 | ||
| 安全术语 | S:S2-S24 | ||
| MSDS | J. T. Baker | ||
| NFPA 704 |
![]() 2
2
0
| ||
| 闪点 | 63 ℃(闭杯) | ||
| 相关物质 | |||
| 相关醛 | 对甲氧基苯甲醛 香草醛 | ||
| 相关化学品 | 苯甲醇、苯甲酸 | ||
| 若非注明,所有数据均出自标准状态(25 ℃,100 kPa)下。 | |||
反应
苯甲醛可被氧化为具有白色有不愉快气味的苯甲酸固体,在容器内壁上结晶出来。苯甲醇可通过氢化苯甲醛制备,也可由苯甲醛在氢氧化钾的醇溶液中进行自身氧化还原而得到(产物为苯甲酸钾和苯甲醇)。苯甲醛与无水醋酸钠和乙酸酐反应生成肉桂酸。氰化钾的醇溶液可用来催化苯甲醛的缩合,生成安息香。

苯甲醛在浓碱溶液中进行歧化反应(康尼查罗反应,Cannizarro反应):一分子的醛被还原成相应的醇,另一分子的醛与此同时被氧化成羧酸盐。此反应的速度取决于芳环上的取代基。
使用
尽管被广泛用作商业食品调味品[1]和工业溶剂,苯甲醛的主要用途仍是用于合成从医药品到塑料添加剂的各种其他化合物。苯甲醛也是生产香水、香料和合成某些苯胺染料的重要中间产物。
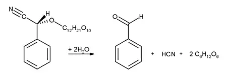
扁桃酸的合成以苯甲醛为初始试剂:

氢氰酸先与苯甲醛反应,产物扁桃腈随后水解得到外消旋扁桃酸。(该图例只描述了其中一种对映异构体的生成)
冰河学家LaChepelle和Stillman于1966年报道了苯甲醛和庚醛抑制冰的结晶,从而阻止浓霜(Depth Hoar)的形成。此处理方式可防止由于不稳定的积雪层而导致的雪崩。但是此化合物破坏植被且污染水源,并没有为此目的而被广泛使用。
参考文献
- 食品安全国家标准 食品添加剂 苯甲醛. 中华人民共和国卫生部. GB 28320-2012. 2012-04-25.
外部链接
- 国际化学品安全卡0102 (页面存档备份,存于)(英文)
- 苯甲醛的资料 于ChemicalLand21.com.(英文)
- ChemSub Online: 三氧化硫 (页面存档备份,存于) (英文)
This article is issued from Wikipedia. The text is licensed under Creative Commons - Attribution - Sharealike. Additional terms may apply for the media files.





