鞘氨醇
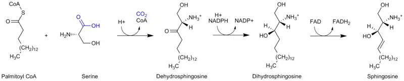
鞘氨醇(Sphingosine)又称神經鞘胺醇,学名2-氨基-4-十八烯-1,3-二醇,是一种含有不饱和烃基链的十八碳氨基醇,化学式为C18H37NO2。鞘氨醇属于鞘脂类,为细胞膜组成成分之一。
| 鞘氨醇 | |
|---|---|
![]() | |
| IUPAC名 (2S,3R)-2-aminooctadec-4-ene-1,3-diol | |
| 识别 | |
| CAS号 | 123-78-4 |
| PubChem | 1104 |
| ChemSpider | 4444047 |
| SMILES |
|
| InChI |
|
| InChIKey | WWUZIQQURGPMPG-KRWOKUGFBW |
| ChEBI | 16393 |
| IUPHAR配体 | 2452 |
| 性质 | |
| 化学式 | C18H37NO2 |
| 摩尔质量 | 299.49 g·mol−1 |
| 若非注明,所有数据均出自标准状态(25 ℃,100 kPa)下。 | |
功能
鞘氨醇在体内可在两种激酶——鞘氨醇激酶1和鞘氨醇激酶2的催化下被磷酸化产生鞘氨醇-1-磷酸,后者是一种有力的信号脂类分子。
鞘脂的代谢物如神经酰胺、鞘氨醇与鞘氨醇-1-磷酸,均为信号脂类分子,参与多种细胞过程。
参考资料
- Radin N. . Biochem J. 2003, 371 (Pt 2): 243–56. PMID 12558497. doi:10.1042/BJ20021878. article (页面存档备份,存于)
- Carter, H. E., F. J. Glick, W. P. Norris, and G. E. Phillips. 1947. Biochemistry of the sphingolipides. III. Structure of sphingosine (页面存档备份,存于). J. Biol. Chem. 170: 285–295
图片
鞘脂贮积病
外部链接
This article is issued from Wikipedia. The text is licensed under Creative Commons - Attribution - Sharealike. Additional terms may apply for the media files.

