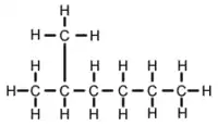
2-甲基己烷
2-甲基己烷(化学式:C7H16)是正庚烷的同分异构物。从结构上可认为是在第二个碳原子上具有一甲基的己烷。它通常作为杂质存在于正庚烷中。然而从化学反应的角度来看,2-甲基己烷具有和正庚烷(直链烷烃)相似的物理性质和化学性质,因此并不被认为是杂质。
| 2-甲基己烷 | |
|---|---|
![]() | |
![]() | |
| 识别 | |
| CAS号 | 591-76-4 |
| PubChem | 11582 |
| ChemSpider | 11094 |
| SMILES |
|
| Beilstein | 1696856 |
| UN编号 | 3295 |
| EINECS | 209-730-6 |
| RTECS | MO3871500 |
| 性质 | |
| 化学式 | C7H16 |
| 100.20 g·mol⁻¹ | |
| 外观 | 无色液体 |
| 密度 | 0.67 g/ml |
| 熔点 | −118 °C (155 K) |
| 沸点 | 90 °C (363 K) |
| 溶解性(水) | 不可溶 |
| 危险性 | |
| 欧盟分类 | 易燃、有害 |
| NFPA 704 |
![]() 3
2
0
|
| 闪点 | −18 °C |
| 自燃温度 | 220 °C |
| 爆炸極限 | 1.0–6.0% |
| 相关物质 | |
| 相关烷烃 | 己烷、庚烷 |
| 相关化学品 | 甲基环己烷 |
| 若非注明,所有数据均出自标准状态(25 ℃,100 kPa)下。 | |
性质
和多数烷烃一样,2-甲基己烷不溶于水,而溶于许多有机溶剂中,例如醇和醚。2-甲基己烷通常被认为是一种溶剂,所以即使其存在于很多庚烷制品中也不会被认为是有害的杂质,因为庚烷通常被作为溶剂而使用。尽管如此,通过精馏,可将2-甲基己烷和正庚烷分离出来。
在烷烃中,支链较多的同分异构体更易点燃和充分燃烧。因此,2-甲基己烷的自燃温度和闪点均比正庚烷低。理论上2-甲基己烷的燃烧会产生更少碳煙,发射出较高频率的辐射;不过由于正庚烷和2-甲基己烷只有一个碳原子排列的区别,两者在燃烧时均产生明亮的黄色火焰。
2-甲基己烷的熔点和沸点均比庚烷低。值得一提的是,在大多数碳氢化合物中,直链烃和其具有支链的同分异构体相比,往往具有更低的熔点和更高的沸点。然而2-甲基己烷却是例外。2-甲基己烷的密度也小于庚烷。
在NFPA 704系统中,2-甲基己烷与其他烷烃被列为反应活性等级为0的化合物。大多数烷烃并不活泼,除非在极端情况下,如燃烧和强烈阳光。在氧气和火焰存在下,2-甲基己烷和庚烷均完全燃烧,生成水和二氧化碳。在紫外光照射下,2-甲基己烷与卤素溶液(如溴溶于1,1,1-三氯乙烷中)混合,可发生取代反应。
参考文献
This article is issued from Wikipedia. The text is licensed under Creative Commons - Attribution - Sharealike. Additional terms may apply for the media files.


