Fischer卡宾
Fischer卡宾是二价的有机金属配合物卡宾。Fischer卡宾的中心碳原子将其 sp2杂化轨道上的电子提供给中心金属的d轨道中,而中心金属以反馈键的方式将一对电子提供给碳原子上空的π轨道中。Fischer卡宾的中心金属的π反馈键通常较弱,金属价态较低,因此总体上Fischer卡宾是亲电性的。
Fischer卡宾的命名来源于恩斯特·奥托·菲舍尔。
结构
Fischer卡宾是一种单线态卡宾,卡宾上取代基的孤对电子离域提高了碳pz轨道的能量,从而使得卡宾的两个电子保持成对。卡宾和中心金属的成键包括一个强的sp2提供给金属d轨道的σ键,和从中心金属处接受至pz轨道的弱π键。[1]

由于这种成键方式,Fischer卡宾通常有以下特征:
1、低价态的中心金属
3、能够接受π电子的配体
制备
Fischer卡宾的最常见合成方法是金属羰基化合物与烃基锂反应,生成酰基金属羰基配合物。此过程中得到的近似烯醇锂的结构高度稳定,因此需要用高亲电性的烷基化试剂(如Meerwein盐)。[2]以碘甲烷作烷基化试剂可以通过相转移体系完成。[3]此种方式合成的Fischer卡宾为电中性卡宾。锂可以以四烷基铵离子代替,以得到活性更强的烯醇。得到的中性四烷基铵盐可以酰化得到具有高亲电性的酰基配合物,可通过与醇发生亲核取代得到Fischer卡宾[4],此种方式合成的Fischer卡宾为阳离子卡宾。
相关反应
类羰特性
Fischer卡宾是亲电性的,经常表现出和羰基化合物相似的反应性。许多反应可以以羧基等价结构来理解,如酯交换反应、Michael加成和羟醛缩合。如图Cr(CO)5部分是一个强吸电子基团,使卡宾α-H有酸性。有甲基侧链的甲氧基铬卡宾在乙腈水溶液中的pKa为12.5(体积比1:1)。[6][7] 作为参考,乙酸甲酯的pKa为25.6,证明Cr(CO)5有较强的吸电子能力。

Diels-Alder反应
Fischer卡宾的亲电性也能体现在许多反应中。例如,丙烯酸甲酯和异戊二烯的Diels-Alder反应在室温下需要7天完成,且对/间位的选择性低。但是,对应的Fischer卡宾反应在室温下3小时即可完成,并且有更高的对位选择性。[8]

脱去金属
Fischer卡宾能够使用温和的氧化剂,如硝酸铈铵,脱去金属得到对应的羰基化合物。[2]

如果Fischer卡宾的侧链上有α-H,他可以与弱碱发生反应,如吡啶。这可以得到氢化铬类物质,经还原消除后得到顺式烯醇醚。[14]

Dötz反应
含烯基侧链的Fischer卡宾与炔烃反应,能得到苯酚结构,酚基碳来源于CO配体,其上α,β-不饱和部分可能来自富电子芳环体系,最终得到多环芳香结构。该反应首先由Karl Heinz Dötz发现,并由他的小组和William D. Wulff推广发展,因此得名。[15]

Dötz反应中的半夹心配合物可以脱去金属得到对应的芳基产物,他可以通过进一步的亲核加成合成高度取代的芳环产物。[16]

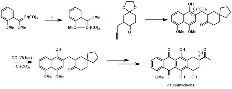
Dötz反应已被用作许多天然产物合成的关键步骤,下图是该反应的应用展示。[17] [18]

半Dötz反应
某些环境中,如果试剂的反应性不足或Dötz反应机理发生的条件不满足时,Dötz反应产物会被中断,得到以烯酮中间体为主的产物。例如,如果炔烃上的取代基太大,可能会得到环丁烯结构。[19]

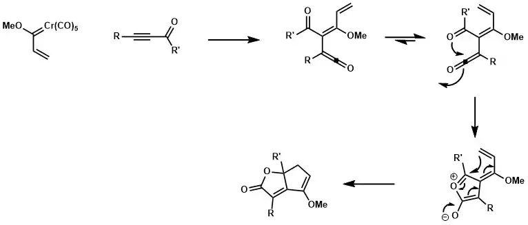
如果炔酮结构两侧的取代基R和R’空间体积不大时,产物可能以8电子π环化的构象为主,如所示得到稠合双环内酯结构。[20] [21] [22]

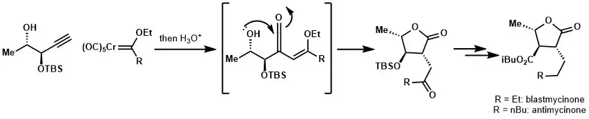
炔烃反应物侧链上的烯烃或亲核部分可以分别通过[2+2]环加成或亲核加成来捕获生成的烯酮。该反应被用于合成广谱的抗霉素,如Blastmycinone(一种三取代内酯)及Antimycinone。[23][24][25]

有α-H的Fischer卡宾可以通过类似于葆森–侃德反应得到环戊烯酮结构。[26]

如果Fischer卡宾中含有不共轭的烯烃结构,则可以得到环丙烷化的桥烃,该反应被用于天名精内酯酮的合成中。[27][28]

参考文献
- Crabtree, Robert. . 18 July 2019. ISBN 978-1119465881.
- Dötz, Karl Heinz. . Angewandte Chemie International Edition in English. August 1984, 23 (8): 587–608. doi:10.1002/anie.198405871.
- Hoye, Thomas R.; Chen, Kejian; Vyvyan, James R. . Organometallics. July 1993, 12 (7): 2806–2809. doi:10.1021/om00031a056.
- Bates, Roderick. 2nd. Chichester, West Sussex: Wiley. 2012. ISBN 9781119978947.
- Álvarez, María; Besora, Maria; Molina, Francisco; Maseras, Feliu; Belderrain, Tomás R.; Pérez, Pedro J. . Journal of the American Chemical Society. 2021-03-31, 143 (12): 4837–4843. PMID 33733762. doi:10.1021/jacs.1c01483.
- Bernasconi, Claude F.; Sun, Weitao. . Organometallics. 1997-04-01, 16 (9): 1926–1932. doi:10.1021/om960936.
- Bernasconi, Claude F.; Leyes, Aquiles E.; Ragains, Mark L.; Shi, Yan; Wang, Huan; Wulff, William D. . Journal of the American Chemical Society. 1998-09-01, 120 (34): 8632–8639. doi:10.1021/ja980608w.
- Wulff, William D.; Yang, Dominic C. . Journal of the American Chemical Society. October 1983, 105 (22): 6726–6727. doi:10.1021/ja00360a037.
- Aumann, Rudolf; Hinterding, Peter; Krüger, Carl; Goddard, Richard. . Journal of Organometallic Chemistry. October 1993, 459 (1–2): 145–149. doi:10.1016/0022-328X(93)86066-Q.
- Casey, Charles P.; Boggs, Roger A.; Anderson, Ronald L. . Journal of the American Chemical Society. December 1972, 94 (25): 8947–8949. doi:10.1021/ja00780a073.
- Casey, Charles P.; Anderson, Ronald L. . Journal of Organometallic Chemistry. 1974, 73 (2): C28–C30. doi:10.1016/S0022-328X(00)85646-6.
- Aumann, Rudolf; Heinen, Heinrich. . Chemische Berichte. April 1987, 120 (4): 537–540. doi:10.1002/cber.19871200413.
- Casey, Charles P.; Brunsvold, William R. . Journal of Organometallic Chemistry. December 1975, 102 (2): 175–183. doi:10.1016/S0022-328X(00)88585-X.
- Söderberg, Björn C.; Liu, Jian; Ball, Thomas W.; Turbeville, Michael J. . The Journal of Organic Chemistry. August 1997, 62 (17): 5945–5952. doi:10.1021/jo962197c.
- Dötz, K. H.; Tomuschat, P. . Chemical Society Reviews. 1999, 28 (3): 187–198. doi:10.1039/A801442F.
- Chamberlin, Steven; Wulff, William D. . Journal of the American Chemical Society. December 1992, 114 (26): 10667–10669. doi:10.1021/ja00052a090.
- Wulff, William D.; Tang, Peng Cho. . Journal of the American Chemical Society. January 1984, 106 (2): 434–436. doi:10.1021/ja00314a037.
- Mahlau, Manuel; Fernandes, Rodney A.; Brückner, Reinhard. . European Journal of Organic Chemistry. 2011-06-21: n/a. doi:10.1002/ejoc.201100599.
- Yamashita, A.; Toy, A. . Tetrahedron Letters. January 1986, 27 (30): 3471–3474. doi:10.1016/S0040-4039(00)84825-X.
- Brandvold, Timothy A.; Wulff, William D.; Rheingold, Arnold L. . Journal of the American Chemical Society. February 1990, 112 (4): 1645–1647. doi:10.1021/ja00160a063.
- Brandvold, Timothy A.; Wulff, William D.; Rheingold, Arnold L. . Journal of the American Chemical Society. July 1991, 113 (14): 5459–5461. doi:10.1021/ja00014a051.
- Waters, Marcey L.; Brandvold, Timothy A.; Isaacs, Lyle; Wulff, William D.; Rheingold, Arnold L. . Organometallics. September 1998, 17 (19): 4298–4308. doi:10.1021/om980509r.
- Wulff, William D.; Kaesler, Ralph W. . Organometallics. August 1985, 4 (8): 1461–1463. doi:10.1021/om00127a028.
- Ishibashi, Taro; Ochifuji, Nagisa; Mori, Miwako. . Tetrahedron Letters. August 1996, 37 (34): 6165–6168. doi:10.1016/0040-4039(96)01338-X.
- Koyama, Masanao; Kenji & Matsui, Hiroyasu & Kogure; Mori, Katsura. . Agricultural and Biological Chemistry. 1973, 37: 915–920. doi:10.1080/00021369.1973.10860744.
- Challener, Cynthia A.; Wulff, William D.; Anderson, Benjamin A.; Chamberlin, Steve; Faron, Katherine L.; Kim, Oak K.; Murray, Christopher K.; Xu, Yao Chang; Yang, Dominic C.; Darling, Stephen D. . Journal of the American Chemical Society. February 1993, 115 (4): 1359–1376. doi:10.1021/ja00057a020.
- Parlier, A.; Rudler, H.; Platzer, N.; Fontanille, M.; Soum, A. . Journal of Organometallic Chemistry. May 1985, 287 (1): c8–c12. doi:10.1016/0022-328X(85)80079-6.
- Hoye, Thomas R.; Vyvyan, James R. . The Journal of Organic Chemistry. June 1995, 60 (13): 4184–4195. doi:10.1021/jo00118a040.
- Hegedus, Louis S. . Tetrahedron. March 1997, 53 (12): 4105–4128. doi:10.1016/S0040-4020(96)01186-6.










