极性转换
极性转换(英語:),也称极性翻转、极性反转、极性颠倒,指有机化学中官能团极性的改变,是有机合成重要概念之一。[1]此概念首先由德国化学家迪特·澤巴赫与美国化学家艾里亚斯·詹姆斯·科里提出,极性转换的英文名称Umpolung也由德语的Umpolung得来,意为极性倒转。[2][3]
这里的极性,指的是官能团不同原子的亲电/亲核反应性;从逆合成分析来看,是指不同原子的供电子/受电子反应性。杂原子(如金属原子、氧、硫、硅等)的引入会改变化学键的极性,从而使某一基团的极性发生翻转,这也是极性转换的常用技巧。这样,这个基团既可作为正离子,也可作为负离子;既可作为供电子基团,也可作为受电子基团,很多看似无法获得的合成子都可以得到,官能团可以作为不同的“身份”来参与化学反应,有机合成反应的范围因此大大扩展。[4]下面举几个例子来说明不同官能团的极性转换方法。
概述

由科里提出的逆合成分析是有机合成的常用方法之一,它通过拆开目标分子的结构,获得相应的合成前体碎片(合成子),来推导出有机合成的可能路线。这些合成子大多是带有供电子性或受电子性的(亲核/亲电,或不准确地讲,负电/正电),可能是稳定存在的微粒,如氰离子(),也可能是不稳定或不存在的离子,如碳正离子和碳负离子。后一种情况中,可以借助相应的“合成子等价物”来作为合成子。
合成子具有一套特殊的分类方法。以右图为例,用代表杂原子,比如O、N、S,该位置被定义为0号;沿着碳链,周围的碳原子分别定为1号、2号、3号、4号等,记为…。具有供电子性的原子记作,具有受电子性的原子记作,若产物中仍含有杂原子官能团,则碳编号也要同时记在右上方。比如,若因为受电子能力而形成活性中心,那么它就是合成子。在碳之前,杂原子自身也可以因为有供电子活性,记为合成子。
在杂原子的影响下,碳链通常会产生规律的供电子性与受电子性变化:以为基准,为受电子性,为供电子性,为受电子性,形成右图所示的d/a交替排列的方式。这样的现象称为常规的反应性,是极性转换前各原子的供/受电子性质。而极性转换可以使某一原子的供/受电子性质发生改变,获得一些非常规的合成子,以满足逆合成分析中的需要。这也便是极性转换的重要性。
羰基化合物
羰基化合物中的羰基中,受电负性影响,通常碳原子为正电性(亲电性),氧原子为负电性(亲核性),常规的合成子即酰基正离子合成子。极性转换可以使碳原子变为合成子,产生一系列的亲核性酰基负离子等价物,为其他羰基化合物的合成提供途径。羰基在反应中可以保留也可以不保留,分别看作是“未掩蔽”或“掩蔽”的羰基。这些反应中,最为熟知的羰基极性转换方法,恐怕要数1,3-二噻烷(缩硫醛)与安息香缩合反应。
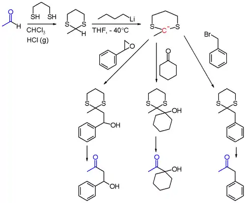
醛(如乙醛)可以和1,3-丙二硫醇形成二噻烷。由于硫对碳负离子具有特殊的稳定性,故邻位的碳有酸性,用正丁基锂在低温四氢呋喃中处理,得到相应的亲核性碳负离子()。该锂化的碳负离子作为亲核试剂,可以和卤代烃(溴化苄)、其他羰基化合物(环己酮)以及环氧乙烷衍生物(苯基环氧乙烷)等合成子发生亲核取代,生成的产物水解,又得回羰基,因此产物是另一个羰基化合物。常用的水解试剂有氯化汞、氧化汞/水、双(三氟乙酰氧基)碘苯、硝酸铈铵和三丁基锡烷,它们的水解机理各有不同。此法可以由甲醛合成高级醛,由醛合成酮。如果以类型的烷基化试剂,经过两次反应,可以很方便地得到4-7元环酮。

安息香缩合是羰基极性转换另一类方法的代表,也是人们最早知道的极性转换的例子。反应物苯甲醛中的羰基碳原子是亲电性的。首先发生氰离子对羰基碳的亲核加成,然后质子由碳转移到氧上,形成一个碳负离子,其中的碳发生了极性转换,是亲核性的。然后该碳原子亲核进攻另一分子的苯甲醛的亲电性羰基碳,质子转移,氰离子离去,得到产物安息香。整个反应的示意图如下。

受以上反应中氰基对负电荷稳定性的启发,人们又研究了其他腈类,结果发现形成α-氰醚与α-氰胺的反应对脂肪醛适用,是相应的酰基负离子等价物,可以有效弥补安息香缩合反应无法应用于脂肪醛的缺点。反应中的羟基常采用三甲基硅基或1-乙氧基乙基进行保护。下面的β-乙酰基环己酮就是用这种方法合成的。


用有机金属试剂也可以达到使羰基碳发生极性转换的目的,例如下图中的五羰基铁和酰基氯化二茂锆。


α-氰醚中的氰基和烷氧基都被氯替换,或氰基为氢,烷氧基为硝基时形成的化合物,以及酰基锂、烯醚、α-烷硫基亚砜类化合物,都具有掩蔽羰基,使羰基碳带有亲核性的作用。下面仅举烯醚(乙烯基甲醚)的例子来说明。烯醚等类型的烯基化合物,其α-氢具有酸性,可以与叔丁基锂在低温作用生成相应的锂盐,即对应酰基负离子的等价物。烯醚可以是烯醇醚、烯硫醇醚或烯基硅醚,烃基锂也可以先与碘化亚铜反应,做成二烷基铜锂的形式与亲电体反应。反应最终得到乙酰化的产物。

羰基化合物发生卤代(生成卤代酮)后,其发生极性转换,由转变为,可与亲核试剂发生反应。反应中的羰基常以缩醛的形式进行保护。
α,β-不饱和羰基化合物的本来是亲电性的,但借助等基团掩蔽起来后,若上没有氢,则碱作用下负电荷会向转移,发生由到的极性转换,使之与亲电试剂起反应。或者,上的氢可以在碱作用下,由迁移到,形成具有两位反应性的烯丙基负离子,则也会发生的极性转换。
下图中的反应也是α,β-不饱和羰基化合物的发生极性转换的例子。形式上看,它属于Heck反应,但反应不是用钯催化,而是使用了一个三唑衍生出的氮杂环卡宾。它与不饱和酯的β-碳发生加成,生成一个烯醇负离子,经互变异构得到羰基,同时β-碳发生极性转换变为亲核性。然后与溴发生亲核取代,溴离子离去,磷酸根离子处理使卡宾离去,以92%的产率得到产物(4)。[5]

其他
烷烃的极性转换:以卤代烃为原料,制取有机金属化合物的反应便是烷烃极性转换的例子。反应前的为亲电性,反应后为亲核性,它由合成子变为合成子。以格氏试剂为例,反应前后烷基分别是正离子和负离子,如下。
再如,卤代烷C-X异裂得到的碳正离子是亲电性的,但均裂得到的自由基是亲核性的;连有吸电子基的碳负离子是亲核性的,但连有吸电子基的自由基是亲电性的。

烯烃的极性转换:通常,烯烃具有供电子性,是合成子。但双键连有吸电子基的烯烃会使电子密度减少,使其转变为合成子。此外,金属配合物的生成也可以使烯键发生极性转换。
芳烃的极性转换:芳香环一般为供电子性,容易发生亲电芳香取代反应。但与金属原子配位后,其电子密度减少,转换为,可以和亲核试剂(如下方烷基锂)发生芳香亲核取代反应,氧化剂(如碘)处理后金属配体脱去,又可得到芳环。

胺的极性转换:胺的极性转换可通过形成亚胺离子(曼尼希反应)或形成亚硝胺(见下)来完成。

参考资料
- IUPAC金色书对“极性转换”的定义: (页面存档备份,存于)。
- Seebach D. . Angewandte Chemie International Edition in English. 1979, 18 (4): 239–258. doi:10.1002/anie.197902393.
- Gröbel B. T., Seebach D. . Synthesis-Stuttgart. 1977, 6: 357–402. doi:10.1055/s-1977-24412.
- Seebach D., Corey E. J. (PDF). Journal of Organic Chemistry. 1975, 40 (2): 231–237. doi:10.1021/jo00890a018. (原始内容存档 (PDF)于2007-09-29).
- Fischer C., Smith S. W., Powell D. A., Fu G. C. . Journal of the American Chemical Society. 2006, 128 (5): 1472–1473. doi:10.1021/ja058222q.
外部链接
- 一些关于极性转换的英文网站:极性转换的方法、安息香缩合与Stetter反应中的极性转换 (页面存档备份,存于)、羰基的极性转换 (页面存档备份,存于)。
- 极性反转与重要化合物的切断分析