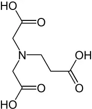
N-(2-羧乙基)氨二乙酸

N-(2-羧乙基)氨二乙酸是一种有机化合物,化学式为HO
2
CCH
2
CH
2
N(CH
2
CO
2
H)
2
,常温常压下为白色固体,形式上可以看作为甘氨酸的衍生物。

N-(2-羧乙基)氨二乙酸
IUPAC名
N,N-Bis(carboxymethyl)-β-alanine
系统名
3-[Bis(carboxymethyl)amino]propanoic acid
识别
CAS号 6245-75-6
PubChem 535795
ChemSpider 466712
SMILES
 
  • C(CN(CC(=O)O)CC(=O)O)C(=O)O
性质
化学式 C7H11NO6
摩尔质量 205.17 g·mol−1
外观 白色固体[1]
熔点 190–200 °C(分解)[2]
溶解性 可溶[1]
若非注明,所有数据均出自标准状态(25 ℃,100 kPa)下。

它最初由Gerold Schwarzenbach于1949年通过β-丙氨酸一氯乙酸的反应制得。[3]

HO
2
CCH
2
CH
2
N(CH
2
CO
2
H)
2
+ 2 ClCH
2
CO
2
H → HO
2
CCH
2
CH
2
N(CH
2
CO
2
H)
2
+ 2 HCl

参考文献

  1. SAA Pedia: N,N-Bis(carboxymethyl)-beta-alanine
  2. Entry from N-(2-Carboxyethyl)iminodiacetic Acid from TCI Europe, retrieved on {{{Date}}}
  3. Schwarzenbach, G.; Ackermann, H.; Ruckstuhl, P. . Helvetica Chimica Acta. 1949, 32 (4): 1175–1186. doi:10.1002/hlca.19490320403.
This article is issued from Wikipedia. The text is licensed under Creative Commons - Attribution - Sharealike. Additional terms may apply for the media files.